以下文章来源于Dr J Lab港大姜斌实验室 ,作者UEHH Lab
专注城市环境与人类健康科研成果的发布与交流
喜
讯
我刊副主编
姜斌老师团队
Nature子刊发表论文
《景观设计学(中英文)》(Landscape Architecture Frontiers)期刊副主编姜斌老师团队近日在《自然-城市》(Nature Cities)发表研究论文,首次发现自然接触剂量和精神健康效应之间的普遍规律并确定了四类关键阈值,标志着一个重要的理论突破。同时,四类阈值的界定具有显著的实践价值。
(Nature Cities)
接触绿色空间对城市居民大有裨益。在过去四十年中,越来越多的研究者对探索绿化程度与心理健康反应之间的关系产生了兴趣。早期研究表明存在线性剂量-反应关系,这使得识别最有益的绿化程度变得困难。然而,近期快速增长的研究发现表明可能存在广义的曲线模式。尽管如此,这些研究采用了不同的测量方法和背景,导致证据不够确凿。在没有充分理解这种关系本质的情况下,我们不知道如何分配绿色景观资源以最大化心理健康效益。本研究旨在识别城市绿化与心理健康之间剂量-反应关系的广义模式。通过对所有相关研究的荟萃分析,我们发现有足够的样本来概括绿化强度的剂量-反应曲线。我们的分析显示,二次模式最适合所有已发表的绿化曲线,并且我们识别出了眼平绿化和俯视绿化的高效益和最佳剂量。据我们所知,这是首个识别并合理化描述绿化程度-心理健康反应曲线的广义二次模式的研究,填补了多个领域的关键知识空白。在实践中,适度的城市绿化暴露“剂量”提供了最有益的心理健康效益供给。
世界各地的城市和国家都在努力解决心理健康问题。世界卫生组织估计,八分之一的人经历心理健康问题,但只有28%的人接受治疗。城市规划和设计可以是一种成本效益高且易于获得的方法。绿色景观暴露已被证明能促进心理健康。然而,不同背景下的研究报告了不同的发现,使研究者和实践者难以理解和利用这些发现。需要对绿化暴露与心理健康反应之间关系的更一般性理解。
几十年来,环境与公共健康研究报告称,更高水平的绿化暴露导致更好的心理健康结果,包括但不限于心理疲劳、心理压力、焦虑、抑郁和认知能力。早期证据表明剂量(绿化暴露的测量)与心理健康之间存在线性关系,这使得识别最有益的绿化剂量变得困难。虽然"绿化总是对心理健康更好"的结论有助于促进城市林业和城市绿化,但其科学和实用价值有限。在对这种关系认识不完整的情况下,我们无法知道如何优化城市林业资源以最大化心理健康效益。然而,近期快速增长的研究发现表明可能存在广义的曲线模式。先验地,当谈论暴露和个体健康效应时,非线性关系更为合理,因为存在饱和效应、规模或剂量的边际收益递减等。许多显著的线性关联可能更好地描述为曲线关联,注意到并非所有研究都报告是否尝试了对数变换。有偏的研究设计可能影响剂量-反应曲线的形状,无论曲线分布如何,线性模型都可以实现合理的拟合。
尽管报告曲线剂量-反应结果的研究呈增长趋势,这些研究调查了不同的绿化暴露(不同类型和范围)和不同的心理健康反应(不同类型和测量)在不同的环境和社会背景下,导致证据不够确凿。由于对这种关系的理解支离破碎,我们无法最优地分配绿色景观资源以最大化心理健康效益。
为了解决研究和实践中的关键空白,本研究通过对过去四十年(1985-2025)所有已发表的剂量-反应研究进行荟萃分析,调查了建立广义曲线模式的可能性。我们的目标不仅是描述广义剂量-反应曲线模式,还要建立理论基础。
实现这一目标首先需要仔细检查相关理论模型,以识别剂量-反应曲线的可能模式,并理解这些模式背后的潜在因果机制。基于对外部刺激的生理和心理反应的四个理论模型,为我们探寻自然接触与心理健康的剂量反应曲线规律提供了有益的启示。它们表明可能识别出一般规律。四个理论模型包括(图1):史蒂文斯幂律(幂模式)(a)、耶克斯-多德森定律(倒U型模式)(b)、毒物兴奋效应理论(倒U型模式)(c)和突变模型(突变模式)(d)。
史蒂文斯幂律是心理学领域的里程碑理论,它拟合了一般剂量-反应曲线来总结不同刺激-反应研究中的分散发现。通过分析从多个实验研究收集的数据,史蒂文斯(1956)发现多种对外部刺激的心理反应都遵循幂函数方程。
耶克斯-多德森定律和毒物兴奋效应理论拟合倒U型来描述环境暴露对人类身体健康的剂量-反应。这种形状与理论一致,即小剂量产生低的、不足的效益,高剂量产生抑制性甚至负面影响;相反,适度剂量产生最佳效益。
突变模型表明存在"悬崖"的可能性,即当唤醒达到某个阈值后,表现可能急剧下降。它揭示了当心理唤醒处于低水平时,唤醒与表现之间的关系可以用倒U型模式描述。然而,当心理唤醒很高且生理唤醒增加到某一点时,表现可能显示急剧下降。
图1. 绿色景观剂量-心理健康曲线的四种情境理论。(a) 史蒂文斯幂律(幂曲线模式);(b) 耶克斯-多德森定律(倒U型模式);(c) 毒物兴奋效应理论(倒U型模式);(d) 突变模型(突变模式)。"剂量"指绿色暴露的测量量。
考虑到接触绿化是接收和响应外部刺激的过程,提出一个整体的曲线模式来总结绿化暴露(剂量)与心理健康结果(反应)之间的关系是合理的。我们的理由得到三点支持。
首先,人类对环境特征的心理反应可以建模为对外部信息的心理反应。接触物理环境,包括绿色景观和其他环境特征,对人们在日常生活中感知和处理环境信息时的心理健康状态产生即时和累积影响。
其次,人类对自然的心理反应表现为人体的生物变化,正如最优唤醒理论、毒物兴奋效应理论和突变定律所建议的。研究使用几个生物指标检查了自然对心理健康的影响,包括唾液皮质醇(心理压力状态指标)、炎症细胞因子(抑郁指标)和血糖(抑郁和恐惧指标)。一些研究已经在人体系统或受体水平识别了绿化的影响。研究注意到绿化对与注意力恢复和压力减少相关的不同脑区的影响。在森林中行走被发现与改善自然杀伤细胞和抗癌蛋白活性相关,这表明压力缓解和免疫系统功能增强。许多研究表明,与绿化的视觉接触可以引起下丘脑-垂体-肾上腺轴和自主神经系统的积极反应。这些研究表明各种暴露-反应模式,但并非都寻求描述剂量-反应效应的模式。观察性研究可以捕获关联,但需要特定的研究设计来捕获边际效应的变化。
第三,研究表明与接触自然相关存在剂量不足和过量问题,就像在心理学、生物学、医学和公共卫生领域识别的那些。在这些领域,研究发现表明人类寻求平衡状态来帮助他们生存和繁荣。也就是说,人类更喜欢适度而非极低或极高剂量的环境刺激来获得最佳效益。研究者认识到人类只有在考虑刺激剂量时才能判断刺激是否有益。剂量也影响人们对环境特征的反应。例如,贫瘠的地方可能引起负面心理反应,如迷失方向、焦虑或压力,而树冠茂密的地方也可能引起类似的负面感受。这些原因结合起来促使寻找支配绿色景观剂量-反应动态的一般理论和模式。
1.4 研究问题
基于上述前提,我们提出两个关键问题:
首先,非线性曲线模式在多大程度上可以描述文献中报告的所有剂量-反应曲线?
其次,我们能否识别与最佳、高效益和非不良效应相关的"绿化剂量"模型的阈值?
眼平和俯视绿化所有点的散点图都显示倒U型模式,GAM模型绘制的实际关系支持这一假设(图2 a-b和A-B)。为了选择最佳拟合模型,我们比较了三个曲线模型,发现倒U型模式具有更低的AIC和BIC值、更低的p值和更高的调整R²值(图2 c-e)。对于倒U型模式曲线模型,眼平绿化的调整R²高于俯视绿化。
图2. 绿色剂量与心理健康表现之间曲线重拟合的荟萃分析。(a)-(e)显示视线水平绿色的结果;(A)-(E)显示俯视绿色的结果。(a, A)显示所有标准化收集点的散点图结果;(b, B)为非参数广义加性模型(GAM)曲线重拟合;(c)-(e)显示三种参数模型的结果。GAM模型和三种模型的比较均表明,由二次方程描述的倒U型曲线最适合绿色度(详见表1中的统计信息)。数据点以圆点表示,拟合曲线显示为深蓝色线,置信区间以阴影区域表示。统计显著性水平:***p< 0.001,**p< 0.01,*p<0.05,ns=不显著。
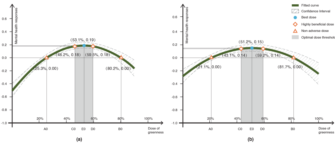
利用识别出的二次方程,我们计算了两种绿化类型的阈值剂量(图3)。对于视线水平绿化,最佳效果剂量为53.1%,高效益效果剂量(正效应前5%)为46.2%至59.5%,无不良效果剂量为25.3%至80.2%。对于俯视绿化,最佳效果剂量为51.2%,高效益效果剂量为43.1%至59.2%,无不良效果剂量为21.1%-81.7%。最佳效果指正效应的峰值,高效益效果指与正效应前5%相关的绿化范围。无不良效果指与大于零效应相关的绿化范围。低于或高于无不良效果剂量的剂量与负效应相关(效应<0)。
图3. 视线水平绿色(a)和俯视绿色(b)的最佳、高度有益和无不良效应剂量的曲线重拟合分析。最佳效应指效应的峰值。高度有益效应对应与前5%积极效应相关的绿色范围;无不良效应对应与非负值相关的绿色范围。绿线代表重拟合曲线,虚线区域代表置信区间。蓝点标记最佳剂量,橙色方块代表高度有益剂量阈值的起点和终点,橙色三角代表无不良剂量阈值的起点和终点。
本研究得出两个主要发现:
● 首先,倒U型曲线及相应的二次关系能够最好地总结已发表实证研究报告的剂量-反应曲线。
● 其次,确定了视线水平绿化和俯视绿化的三个阈值。
我们发现二次模式(倒U型曲线)最好地总结了绿化剂量与心理健康反应之间的关系,这可能通过关于不同心理生理方面的理论和实证研究的某种组合来解释。
多项研究报告了描述绿化剂量与心理生理压力之间关系的倒U型曲线。这些研究经常使用进化心理学来解释这种关系。绿色景观水平较低的贫瘠空间可能使人类感到压力,因为它们提供较少的自然资源获取途径,因此不支持人类生存。其他研究支持了这一理论。另一方面,较高密度的绿化可能并不总是导致较低水平的压力和负面情绪。研究表明,高密度绿化可能具有较少的自然光线和更多的视觉障碍,导致人们感到压力、焦虑,并担心迷路或遭到伏击。因此,适度水平的绿化可能最有利于减少压力和其他负面情绪。在其他关于绿化与心理压力和情绪的研究中可以找到类似的解释。
从注意力、注意力疲劳和认知功能的角度来看,多项研究报告了绿化与注意力能力和认知表现之间的倒U型曲线关系。为了解释这种关系,众多研究认为,没有或低剂量绿化的贫瘠空间消耗而非恢复人们的定向注意力,这可能导致疲劳和低认知表现。同样,高剂量绿化也可能消耗定向注意力,导致心理疲劳和认知表现不佳。一些研究表明,高剂量绿化通常具有更高水平的复杂性,这增加了人们的认知负荷,需要更大的心理努力来感知、处理和响应景观。适度剂量的绿化导致最佳认知功能,因为它提供了更高程度的可感知性,并且比高剂量绿化的景观包含更少的干扰因素。两项研究认为,过高剂量的绿化更可能对注意力和认知表现产生负面影响,因为这些景观在视觉上更难理解,或者因为它们有隐蔽或混乱的视野。最后但同样重要的是,研究表明,绿化剂量过高的景观更可能有强烈和多样的自然声音,这可能造成过多的分心和刺激,进一步消耗定向注意力和认知表现。总之,适度剂量的绿化在恢复定向注意力、减少心理疲劳和促进认知表现方面可能比过低或过高剂量的绿化更有益。
研究还使用二次模式来描述绿化剂量与其他心理健康结果之间的关系,包括抑郁、偏好、精神分裂症、自尊和社会孤立。过低和过高水平的绿化可能导致社会孤立感。与适度剂量的绿化相比,过低或过高剂量的绿化阻碍身体和社会活动,这可能导致较差的心理健康。一些研究表明,过低或过高剂量的绿化可能导致无聊感,增加精神分裂症症状的风险,而适度剂量的绿化可以激发使用者。
这些研究与我们的发现一致,并提供了支持我们假设的解释,即二次关系(倒U型曲线)可能最好地总结绿化剂量与心理健康反应之间的关系。当绿化达到某一点时,心理健康益处可能开始下降。与这一点相关的阈值可能被认为是高效益的绿化剂量。
在本研究中,我们收集并综合了各种绿化剂量-心理健康反应曲线。我们的统计分析确定倒U型模式为最好地描述绿色景观与心理健康反应之间关系的剂量-反应曲线。所选曲线包括具有显著或非显著结果的研究,包括正相关或负相关;所选曲线中使用的所有心理健康表现都是最常见的变量,其中约90%应用了个体测量。此外,所选曲线的所有绿化剂量都测量了绿色强度。这些特征确保我们控制了相当水平的普遍性并增加了发现的可靠性。
据我们所知,这是第一项总结并统计分析各种剂量-反应曲线以确定二次关系为最好地描述绿化与心理健康反应之间关系的研究。此外,本研究确定了与不同效应水平相关的绿化剂量阈值。使用这些阈值,我们为政策制定者和从业者提出建议(图4)。我们综合了跨不同领域的多种理论和实证证据,以开发综合理论框架和相应的剂量-反应总结曲线。
为什么剂量-反应研究可以总结为具有高效益剂量的倒U型模式很重要?来自不同背景的众多研究的发现对政策制定者、设计师和健康从业者来说是压倒性的。我们的发现显示这些曲线如何遵循广义二次关系,这对政策制定者、城市和景观规划师和设计师以及公共卫生专业人员可能有用。因为识别的总结曲线是二次的,这表明剂量不足和过量都是有问题的。相反,应该采用适度剂量的绿化作为政策制定和实践中的高效益绿化剂量。其次,确定绿化的阈值很重要,在这些阈值处心理健康益处是高效益的。阈值帮助政策制定者和从业者提供最小和最大绿化剂量,以保证人们的心理健康而不浪费宝贵的土地和其他资源。
图4. 基于结论对于政策制定者、设计师和健康从业者所提出的建议。
作为识别广义剂量-反应曲线的初步努力,本研究有几个局限性,这些局限性为未来研究提供了机会。应该综合更多证据以增强本研究报告发现的可靠性和有效性。
首先,我们承认泛化带来的局限性。虽然我们荟萃分析选择的曲线通过控制绿色景观类型、心理健康反应和标准化剂量-反应曲线减轻了异质性,但广义二次模式的应用仍面临绿色暴露和心理健康表现的多样特征。这同时突出了未来研究将曲线测试纳入其模型的关键需求。尽管存在异质性问题,我们的研究审查了87,761篇论文,提供了坚实的基础,鼓励环境研究在未来研究中包含更强有力的数据,以生成更令人信服的广义曲线模式。
其次,由于样本量有限,本研究仅对绿化剂量产生了统计上可靠的发现,但对绿色景观多样性(另一种强度类型)、绿化暴露持续时间和绿化暴露频率没有产生可靠发现。本研究代表了未来调查绿化对心理健康影响的关键起点。有必要扩大绿化评估以包括绿化剂量的额外测量。通过这样做,研究人员可以开始识别模式并建立相关性,这将使他们能够对绿化与心理健康之间的关系得出更准确的结论。
第三,本研究采用均值标准化作为标准化从各种研究中收集的不同心理健康反应的手段。考虑到所选研究中心理健康反应的异质性质,具有不同严重程度,这种方法是合理的方法。然而,值得注意的是,这种方法没有提供心理健康反应大小的完整指数,需要采用替代措施来准确描述心理健康反应的总体幅度。
第四,我们没有视线水平绿化的完整范围(0-100%)。因此,我们没有实际数据来直接描述完整的剂量-反应曲线。因此,我们必须依靠预测方法来推断潜在趋势,而不是直接测量。为了更好地为我们的分析提供信息,未来研究采用更广泛的绿化水平范围并检查过高剂量的影响至关重要。通过扩展我们的实验参数,我们可以更充分地阐明绿化与结果之间的复杂关系。展望未来,测试我们预测的趋势并探索灾难性模式的潜力将至关重要,正如理论模型所建议的。
实验室主任简介
姜斌
副教授 (终身教职)、 博士生导师
香港大学城市环境与人类健康实验室创始主任
香港大学城市系统研究院研究员
学术及专业简介
姜斌是“健康城市与健康景观”运动的积极倡导者之一,曾担任美国风景园林/景观设计教育学会大会(CELA)研究与方法类联合主席(2016-2022)。他拥有伊利诺伊大学的博士学位,具有城市规划设计、风景园林(景观设计)、和环境行为心理学的多元背景。姜斌的专业知识包括建成环境与城市景观对人类健康和福祉的影响,环境正义与安全, 以及社区的景观赋权、当代景观设计等。姜斌师从美国环境心理学著名学者William C. Sullivan教授(博士学位)、国际景观设计大师兼美国艺术与科学学院院士俞孔坚教授(硕士学位)、国际景观设计大师Peter Walker先生(设计学徒)。
姜斌主持和合作的研究及设计项目受到中国国家自然科学基金、香港政府研究基金、中国地方政府、高校等资助。他在诸多顶级国际级期刊和国家级期刊发表了60余篇科学论文,在国际会议上发表了60余篇研究摘要。2023年和2024年,姜斌被评选为全球Top1%高引作者(ESI)。他的工作被世界卫生组织(WHO)、世界银行、美国国家森林局、香港特别行政区发展局、多伦多公共卫生部、美国风景园林(景观设计)设计师协会(ASLA)引用或报导。他的研究工作已被全球主要新闻媒体报道,包括新华社(中国)、Mail Online(英国),New York Times(美国),Dirt of ASLA(美国),Telegraph (英国),MedicalXpress(美国),Chicago Tonight(美国),Science Alert(美国),Yahoo(美国),南华早报(中国香港)和Naver(日本)等。根据Google Scholar学者数据库,姜斌是全球风景园林(景观设计)领域引用量排名第25位的学者。
此外,姜斌拥有超过十年景观规划设计实习及从业经历,先后就职于土人景观(北京)、泛亚国际(上海)、Peter Walker & Partners(伯克利)等知名设计机构。他曾在《一席》做社区景观与公共空间设计更新的演讲,得到广泛的关注与认可,相关书籍《景观赋权》(Landscape Empowerment) 已由Springer Nature出版。
学术服务
· 《景观设计学(中英文)Landscape Architecture Frontiers》副主编;·《景观研究Landscape Research》国际编辑;·《PLOS Global Public Health》编辑;· 《心理学前沿Frontiers in Psychology》编辑;·《风景园林Landscape Architecture》特约编辑;· 《景观与生态工程Landscapeand Ecological Engineering》特约编辑;· 中国建筑学会环境行为学术委员会第一届委员会常务委员,2021年至今;· 中国城市研究学会(CSUS)景观学与美丽中国建设专委会委员,2018 年至今;· 中国城市研究学会(CSUS)健康城市学术委员会委员, 2018 年至今; 《美国国家科学院院刊PNAS》,《Landscape and Urban planning》,《Urban Studies》,· 《Environment & Behavior》,《Urban Forest & Urban Greening》等20 余家国际专业期刊评审;
主要作者简介
李嘉立
博士、景观设计师
香港大学城市环境与人类健康实验室成员
李嘉立博士是一位学者、教师和景观建筑师,其学术研究、教学实践与专业设计实务形成有机统一。拥有香港大学博士学位及罗德岛设计学院硕士学位。其研究聚焦于建成环境、公共健康、可持续生态设计与社会公平的跨学科交汇,特别关注城市绿地系统对心理健康的影响机制,以及景观空间对边缘化社区的赋权效应。
李嘉立的学术成果发表于《自然-城市》、《环境与行为》等权威期刊。其突破性发现包括绿化暴露剂量与心理健康响应间的显著曲线关系,以及建成环境要素与执法暴力事件的潜在关联性。这些研究成果获得广泛媒体关注,被CBS芝加哥、PsyPost、医学新闻网等国际媒体报道。
李嘉立持有艺术设计高等教育教学资格证书及高等教育教学专业认证,具备七年丰富的教学履历,涵盖设计课、历史理论课程以及基础技能,教学对象包括布朗大学、罗德岛设计学院及香港大学的本科生与研究生。
在专业实务领域,李嘉立曾任职于巴尔的摩Mahan Rykiel Associates事务所全职景观建筑师,参与多项获奖的新兴景观生态修复工程。代表项目包括2021年美国景观建筑师协会荣誉奖"帕森斯岛韧性设计"、2020年荣誉奖"播种特异性:新兴生态系统的材料与方法论",以及2018年荣誉奖"疏浚设计:哈特-米勒岛北区示范工程"。
注:本文由作者及来源机构授权景观设计学前沿发布,未经授权不得以任何形式、任何文种在其他印刷版、网络版等媒介发表,如有违反,本刊将保留追究其法律责任的权利。若有转载,请后台联系授权。
如果你喜欢本期推送,
请点“赞”和点亮“在看”,分享给更多朋友吧!